Меню сайту

Аналіз зв’язку між атрибутивними ознаками

Використання регресійного та кореляційного аналізу вимагає, щоб всі ознаки були кількісно виміренними. Методи КРА, засновані на використанні кількісних параметрів розподілу (середні величини, дисперсії), називають параметричними методами.

Разом з тим в статистиці, особливо при проведенні соціологічних досліджень, виникає потреба оцінки тісноти зв'язку між якісними (атрибутивними) ознаками. Проблему оцінки тісноти зв'язку між атрибутивними ознаками вирішують непараметричні методи. Сфера їх використання значно ширша в зрівнянні з параметричними методами, тому що не вимагається використання умови нормального розподілу результативної змінної, не ставиться задача представлення залежності між атрибутивними ознаками відповідним рівнянням. Тут мова йде тільки про встановлення наявності встановлення зв'язку та виміру його тісноти.

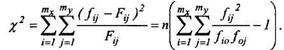
Взаємозв'язки між атрибутивними ознаками аналізуються за допомогою таблиць взаємної спряженності (співзалежності). Вони описують комбінаційні розподіли сукупностей за факторною ознакою х та результативною у. Наприклад, результати соціологічного опитування населення щодо намірів узяти участь на ринку цінних паперів: розподіл респондентів опитування за віком розглядається як факторна ознака х, а їх розподіл за схильністю до ризику (ризиковий, обережний, неризикований) - як результативна ознака у. При наявності стохастичного зв'язку оцінка його тісноти ґрунтується на відхиленнях фактичних частот (часток) fa від Fy, пропорційних підсумковим частотам:

де fi0 - підсумкові частоти за ознакою х; foj - підсумкові частоти за ознакою у; n - обсяг сукупності.

Очевидно, що

де тx, ту - відповідно кількість груп за ознаками х та у.

Абсолютну величину відхилень фактичних часток від пропорційних Ftj ( fij - Ftj) характеризують статистичним критерієм х2 (,,хі"-квадрат).

Відносною мірою тісноти стохастичного зв'язку між ознаками служать також:

коефіцієнт взаємної спряженності Чупрова

коефіцієнт взаємної спряженності Крамера (при т£ту)

суспільний явище групування кореляція

де ттіn - мінімальне число груп (тх або ту).

Значення коефіцієнта С коливається від 0 до 1 і тіснота зв'язку тим сильніша, чим ближче С до 1.

Достатньо часто в практиці статистичних досліджень аналізуються зв'язки між альтернативними ознаками, які представлені групами з протилежними (взаємовиключними) характеристиками. Тісноту зв'язку у цьому випадку можна оцінювати за допомогою коефіцієнта асоціації Д. Юла та коефіцієнта контингенції Пірсона.

Для розрахунку вказаних коефіцієнтів вимірювання тісноти зв'язку між альтернативними ознаками використовується таблиця взаємної спряженності у вигляді кореляційної таблиці, яка носить назву "чотирьохклітинкової таблиці":

Таблиця 1.

А

b

a + b

С

d

c + d

а + с

b+d

a+b+c+d

Перейти на страницу: 1 2 3 4

Подібні статті по економіці

Еволюція поглядів на економічне зростання та сталий розвиток
Проблеми досягнення стабільних темпів економічного зростання є актуальними в усіх країнах світу. Але в останній час дещо змінилися погляди щодо мети й шляхів досягнення зростання економ ...

Управління доходами торговельного підприємства від операційної діяльності (за матеріалами ТОВ Боярські Ряди, м. Боярка)
Умови формування ринкових відносин в Україні, що пов’язані з динамічністю зовнішнього середовища, зниженням купівельної спроможності населення, загостренням конкурентної боротьби, потре ...

Товарне виробництво
Життя людського суспільства складна, багатогранна та сповнена протиріч. Майже у всьому світі, щоб вижити, людина повинна працювати, тому що оточуючі його речі у своєму природному стані, ...

Copyright © 2026. www.ekonomikam.com. Всі права захищені.