Меню сайту

Показник потужності стратифікованої множини

Розглянемо ще один випадок, коли потужність обчислюється кількістю не реальних, а умовних елементів множини. Нехай у прикладі з бригадою робітників останні ранжовані за кваліфікацією за шістьма розрядами, відповідно до яких множина стратифікується на шість страт. Цінність кожного робітника визначається кваліфікаційним розрядом і, нехай, пропорційною заробітною платнею: VI розряд - у шість разів, V розряд - у п'ять разів і т. д. оплачується вище І розряду. Тоді всю множину робітників різної кваліфікації можна звести до більшої еквівалентної множини робітників найнижчого першого розряду, кількість яких визначається потужністю цієї множини.

Нерівноінтенсивну, але однорідну множину можна стратифікува-ти, тобто поділити на модифікації різних за ступенями інтенсивності одиниць страт у родовидовій структурі "по вертикалі" (тобто розподілити на стратифікаційній шкалі). Потужність такої множини неможливо визначити через відмінні за ступенями якості одиничні міри для кожної наступної страти. У цьому зв'язку якісно стратифікованій множині треба знайти адекватну якісно рівноінтенсивну й визначити потужність останньої за допомогою деякої приведеної (тобто з урахуванням ступеня якості) одиниці.

Зауважимо щодо позначень елементів стратифікованої множини: з двох індексів для позначення належності кожного елемента i-му класу і j-й страті перший індекс не використовують і тому замість нього ставитимемо точку: а.

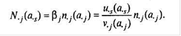
Потужність N.j(a.s) j-ї страти виражає кількість умовних елементів a.s а s-ї, наприклад, найнижчої (s = 1), І страти, у які були переведені n.j реальних елементів a. j за допомогою коефіцієнта . Цей коефіцієнт виражає ступінь якості елементів j-ї страти у формі пропорції екстенсивних величин ). Звідси (a) = ()., що означає, що кількість елементів j-ї страти еквівалентна кількості елементів a. Отже, потужність N.j(a.s) j-ї страти, яка налічує () елементів , дорівнює добутку інтенсивної величини на цю екстенсивну величину () [13, 121]:

(2)

Якщо стратифікована множина складається з кількох "сортів" цих одиниць (j = 1, ., s, ., l), то сумарна потужність виразиться сумою потужностей l страт:

(3)

оскільки a= a.

В економіці цим парам величин відповідає сорт у формі ціни і кількість товарів () кожного сорту цього асортименту для вираження вартості сукупного продукту. Подібно заробітну платню робітників можна розглядати як ціну за працю відповідної кваліфікації. В економіці загальна потужність господарства може підвищуватись за рахунок першого чи другого співмножника у формулах, наведених вище, що дістало назву відповідно інтенсивного й екстенсивного способів розвитку народного господарства. У соціології цим парам величин відповідають, наприклад, інтенсивність певної соціальної настанови й кількість осіб з різним ступенем її вираженості для визначення потужності колективної настанови (потужності громадської думки).

Перейти на страницу: 1 2

Подібні статті по економіці

Удосконалення форм праці та впровадження науково–технічного прогресу
Вирішальним засобом підвищення ефективності діяльності підприємства ресторанного господарства є вдосконалення форм праці та впровадження науково-технічного прогресу. Саме про вд ...

Визначення конкурентоспроможності оптового торгівельного підприємства Авіс
Об'єктивні чинники, що пояснюють багато глибинних причин наших економічних і соціальних труднощів, темпів економічного розвитку, що знижуються, за останні десятиліття, з одного боку, і п ...

Економіка соціальної орієнтації та проблеми її формування в постсоціалістичних країнах
У світовій системі економіки чималу роль грають колишні соціалістичні країни. До цієї групи відносяться країни, у яких довгий час існував соціалістичний режим. Розглянемо основні тенд ...

Copyright © 2025. www.ekonomikam.com. Всі права захищені.